Aprendizajes Esperados del 3.Parcial:
- Tratamiento analítico de las integrales definidas e indefinidas, y uso intuitivo de los procesos infinitos y las situaciones limites.
Formulas de método integración Cambio de variable
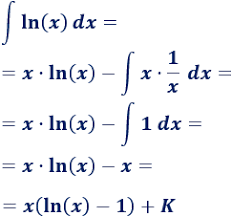
Formulas de método integración por partes
Ejemplo:
Ejercicios resueltos de integrales por cambio de variable
Ejercicios resueltos de integrales por partes
Power point






No hay comentarios.:
Publicar un comentario